Khoa học & Công nghệ

Lỗi túi khí, 75 xe Volkswagen Passat và Golf bị triệu hồi tại Việt Nam

  • Tác giả: Thảo Nguyễn

Volkswagen Việt Nam vừa triệu hồi 75 xe Passat và Golf do nguy cơ lỗi túi khí Takata. Chương trình kiểm tra và thay thế linh kiện kéo dài đến 2029.

Cục Đăng kiểm Việt Nam cho biết Volkswagen Việt Nam đang triệu hồi 75 xe Passat và Golf do nguy cơ lỗi bộ bơm khí túi khí Takata. Chương trình kiểm tra và thay thế linh kiện kéo dài từ tháng 2/2026 đến tháng 2/2029.

Sau gần một thập kỷ kể từ cuộc khủng hoảng túi khí Takata khiến hãng sản xuất linh kiện này phá sản, các chiến dịch triệu hồi liên quan vẫn tiếp tục xuất hiện tại nhiều thị trường. Tại Việt Nam, sau một số thương hiệu Nhật Bản như Honda và Toyota, Volkswagen là hãng tiếp theo triển khai chương trình triệu hồi xe do liên quan đến túi khí Takata.

1-7675.jpg
Volkswagen Passat và Golf bị triệu hồi tại Việt Nam vì lỗi túi khí.

Theo thông tin từ Cục Đăng kiểm Việt Nam, nhà nhập khẩu và phân phối chính hãng ôtô Volkswagen tại Việt Nam đang tiến hành triệu hồi tổng cộng 75 xe.

Các xe nằm trong diện triệu hồi chủ yếu thuộc hai mẫu Volkswagen Passat và Volkswagen Golf. Những xe này được sản xuất trong giai đoạn từ ngày 1/11/2009 đến ngày 31/12/2015 và đã được phân phối tới khách hàng tại Việt Nam.

Theo Volkswagen, bộ phận bơm khí của túi khí Takata đặt trên vô lăng có thể bị ảnh hưởng bởi độ ẩm theo thời gian trong một số điều kiện khí hậu nhất định.

2-599.jpg
Chương trình kiểm tra và thay thế linh kiện kéo dài đến 2029.

Khi xảy ra va chạm và túi khí được kích hoạt, bộ phận bơm khí có thể tạo ra áp suất quá lớn, dẫn đến nguy cơ nứt vỡ. Trong trường hợp này, các mảnh kim loại từ bộ phận bơm khí có thể văng ra và gây thương tích cho người ngồi trong xe.

Volkswagen cho biết giải pháp khắc phục là thay thế bộ phận túi khí bị ảnh hưởng. Vì vậy, hãng quyết định triệu hồi toàn bộ các xe nằm trong danh sách để kiểm tra và thay thế linh kiện nếu cần thiết.

Chương trình triệu hồi được triển khai trong thời gian ba năm, từ tháng 2/2026 đến tháng 2/2029. Thời gian kiểm tra và thay thế linh kiện trên mỗi xe dự kiến khoảng 65 phút. Đây là chương trình triệu hồi đầu tiên của Volkswagen tại Việt Nam trong năm 2026 và chủ yếu áp dụng với các xe đời cũ.

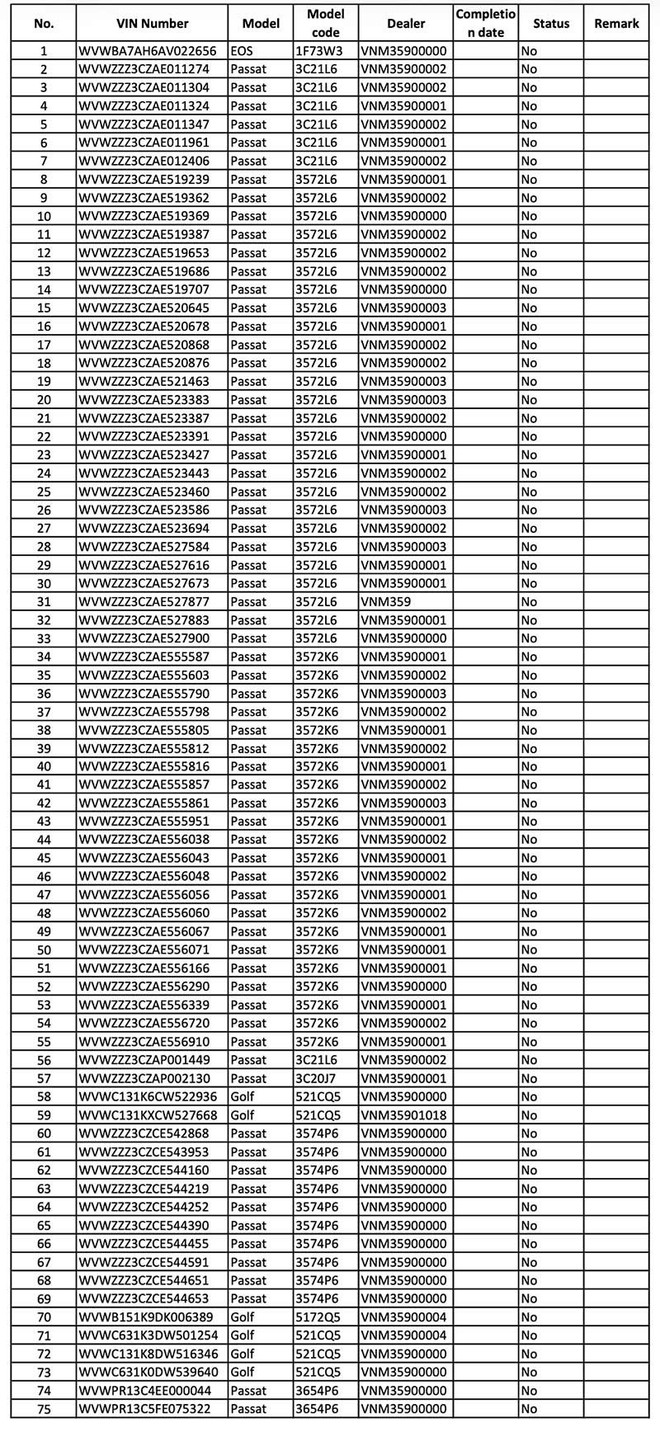
3-3424.jpg
Danh sách các mẫu Volkswagen Golf, Passat phải triệu hồi lần này.
Thảo Nguyễn